Pribolab - α-乳白蛋白酶联免疫试剂盒

α-乳白蛋白酶联免疫试剂盒一、概述 α-乳白蛋白是乳清蛋白重要组成成分,与β-乳球蛋白共占乳清蛋白总量的

 · 1 分钟阅读

α-乳白蛋白酶联免疫试剂盒

一、概述

α-乳白蛋白是乳清蛋白重要组成成分,与β-乳球蛋白共占乳清蛋白总量的70%-80%。其氨基酸组成与人乳相似度达74%,促进婴幼儿生长发育、改善胃肠道耐受性,同时还能为成人补充必需氨基酸,是功能性食品的优质添加成分。但是,α-乳白蛋白也是牛乳主要致敏成分之一,对牛乳蛋白过敏人群即使接触微量α-乳白蛋白也可能引发过敏反应。因此,精准检测食品中的α-乳白蛋白含量至关重要。

青岛普瑞邦生物工程有限公司推出PriboFast®α-乳白蛋白(α-Lactalbumin)过敏原酶联免疫检测试剂盒,利用双抗夹心 ELISA 方法,定量限为4 μg/kg,可对谷物、饼干、香肠等食品中α-乳白蛋白定量检测。

二、产品优势

本产品基于双抗夹心法酶联免疫吸附原理,样品中α-乳白蛋白先与预包被抗体结合,再与酶标抗体反应形成“抗体-抗原-抗体”夹心复合物。加入显色液后,复合物上标记的酶催化底物生成蓝色产物,终止反应后变为黄色,在450 nm处吸光度值与α-乳白蛋白浓度成正比。

  1. 特异性强:特异性识别α-乳白蛋白,与30+种常规基质无交叉反应。
  2. 灵敏度高:定量限为4 μg/kg
  3. 精确度高:批内精密度< 10 %;批间精密度< 15 %。
  4. 检测时间短:45 min完成样本检测。
  5. 应用场景广泛:可用于各类食品厂的原料入厂质控、加工食品残留筛查、成品标签验证、设备清洁验证以及监管部门产品品质抽查等场景。
  6. 产品参数
产品名称PriboFast®α-乳白蛋白(α-Lactalbumin)过敏原酶联免疫检测试剂盒
货号EKT-LB10
规格48T/96T
检测对象α-乳白蛋白
定量限4 μg/kg
线性范围4-100 μg/kg
孵育时间45 min
回收率80-120%
适用基质谷物、饼干、香肠等食品

四、检测方法

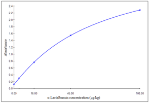
  1. 检测结果

α-乳白蛋白检测的线性范围为4 - 100 μg/kg,吸光值与α-乳白蛋白浓度呈正相关。将酶标仪450 nm下测量的吸光度值导入本公司提供的专业数据分析软件中便可轻松完成数据分析。

  1. 过敏原产品系列

其他牛奶检测相关产品如下:

货号产品名称检测对象规格
PRS-A60PriboStripTM牛奶酪蛋白(Casein)过敏原快速检测试纸条酪蛋白10T/20T
EKT-CA61PriboFas牛奶酪蛋白(Casein)过敏原酶联免疫检测试剂盒酪蛋白48T/96T
EKT-L60PriboFast® 牛奶β-乳球蛋白(β-Lactoglobulin)过敏原酶联免疫检测试剂盒β-乳球蛋白48T/96T
EKT-ML60PriboFast® 牛奶(酪蛋白Casein/β-乳球蛋白β-Lactoglobulin)过敏原酶联免疫检测试剂盒酪蛋白/β-乳球蛋白48T/96T
PRS-F010PriboStripTM羊乳中牛乳掺假快速检测试纸条α-乳白蛋白48T/96T

除了针对牛奶相关过敏原检测外,青岛普瑞邦还提供覆盖全球主要食品法规要求的过敏原检测产品,助力企业严控过敏原交叉污染风险。具体项目如下:

• 八大过敏原类:花生、大豆、鸡蛋、麸质、甲壳类、鱼类、牛奶、坚果(如杏仁、榛子)等。

• 其他常见过敏原类:芝麻、荞麦、苦荞、溶菌酶和组胺等。

• 蔬菜系列:羽扇豆、芹菜等。

• 调味品系列:芥末。

七、关于普瑞邦

青岛普瑞邦生物工程有限公司成立于2008年,专注于食品检测产品的研制与应用。

经过十多年的发展,目前公司已经形成了生物毒素类标准物质、稳定同位素内标、多种基质的质控样品、前处理耗材、快速检测产品及智能样品前处理仪器在内的完整产品体系,且拥有多项独有产品。

联系电话:400-6885349

官方邮箱:info@pribolab.com

官方网站:www.pribolab.cn


新闻动态

learn more about our company


No comments yet.

添加评论
Ctrl+Enter添加评论